Dispositif expérimental et principe de mesure :
L’équipe CRISP a développé une plateforme de diffraction des rayons X résolue en temps sous multi-contraintes (température, champ électrique, pression, laser continue, laser pulsé) avec pour objectif de déterminer les relations structure-propriétés en suivant simultanément :
– la réponse structurale sous contrainte par diffraction des rayons X sur monocristal
– la réponse des propriétés physiques associées (optiques, électroniques)
Le goniomètre 4-cercles permet, par une parfaite orientation des échantillons monocristallins, l’étude d’anisotropie des propriétés physiques tensorielles.

Le principe de mesure repose sur un schéma de type pompe-multisonde en exploitant les capacités de multiplexage d’un détecteur à pixels hybrides à comptage de photons direct.
Cristallographie sous pression :
Plusieurs cellules pression à enclume de diamant sont disponibles afin d’exercer une pression hydrostatique in-situ et de suivre des processus piezochromiques, des transitions de phase sous pression.


Cellule à enclume de diamant (DAC) et cristal dans la cellule.
Cristallographie sous champ électrique :
Plusieurs porte-échantillons ont été développés à l’atelier du laboratoire pour réaliser des mesures sous champ électrique en configuration résistive ou capacitive. Les champs d’application vont des matériaux piezoélectriques, multiferroïques aux systèmes ferroélectriques.


Cristal soumis à un champ électrique modulé, et cristal connecté à deux électrodes pour application du champ électrique.
Mesure des propriétés physiques :
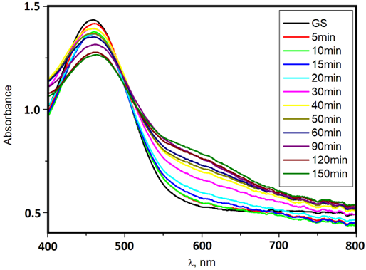
Le dispositif permet de réaliser des mesures de spectroscopie d’absorption et d’absorption transitoire (résolution temporelle de l’ordre de 5 ns)


Suivie du spectre d’absorption lors d’une photo-isomérisation photoinduite d’un cristal de Ru(NO)(NH3)5.
Le dispositif permet de réaliser des mesures de photoluminescence et de photoluminescence transitoire (résolution temporelle de l’ordre de 5 ns).


Photoluminescence d’un monocristal de pérovskite hybride organique-inorganique (CH3NH3)PbBr3
Ces mesures peuvent être réalisées sous pression et sous champ électrique.


Photoluminescence du composé (C6H11NH3)2PbBr4 sous pression in situ




